我們擅長商業策略與用戶體驗的完美結合。
歡迎瀏覽我們的案例。
目前,一個微信(邯鄲微信開發)群最多只能由 500 人,QQ 群也只有 2000 而已。當你加入一個 2000 人 QQ 群的時候,就已經感受到“信息爆炸”的可怕。那如果建一個 13 億的微信群,會發生什么呢?
面對這個問題,騰訊官方還真的給出了答案。先說結論:也許可以實現,但你會什么都看不見。
根據 2017 年《微信數據報告》的公開數據,2017 年 9 月,微信日均登陸 9.02 億人,日均發送消息 380 億次。
這意味著平均每人每天發送信息 42 條,如果全國人民(對了,現在全國人口已經接近 14 億)在同一個群里說話,這個群每天出現的信息就高達:

這么多信息僅僅是勻速發送的話,考慮到大家的睡眠,睡覺的 8 小時不算,那么手機里每秒要接收的信息就是:

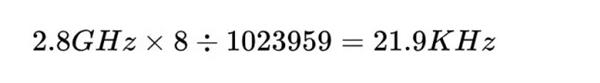
每秒超過 100 萬條啊!目前主頻最高的手機 CPU 之一,高通驍龍 845 有 2.8GHz 的處理能力,一共是 8 核。
如不計算安卓系統、顯示刷新、網絡 IO 等 CPU 操作的話,每條信息能分配到的計算能力是:

這是什么概念?全球第一款微處理器是 1971 年英特爾推出的 Intel 4004,這個老古董的主頻也有 108KHz 啊。所以 21.9KHz 就是啥也干不了。
幸好 IT 界有個摩爾定律:每 18 個月 CPU 性能就能翻倍(或者價錢是一半)。雖然現有科技已經很難讓主頻提升(某牙膏廠拼命擠也只有 5Ghz)。
但假設我們使用了黑科技提升主頻。等到了 2025 摩爾定律失效時,我們的手機 CPU 主頻應該達到:

呵呵,依然沒有達到 Intel 4004 的水平,所以結果就是你等了 7 年,還是進不了這個全國群搶一個紅包。
好吧,咱們讓手機接入一個給力點的電腦, 比如說曾經全球超算第一名的太湖之光,用他的 1 千萬個 CPU 核心來幫忙處理這個宇宙第一大微信(邯鄲微信開發)群。算力的問題算是有了著落。
我們假設平均每條消息有 10 個漢字,這大概相當于 30 byte,算上應用層會加上一定的控制字符,再加上 TCP/IP 網絡層的數據消耗大概是 74 byte,取個整,平均每條消息有 100 byte。
而每個 byte 相當于 8 個 bit,所以這時每秒需要的網絡帶寬大約是:

這時千萬不要有人發紅包,否則需要的帶寬就更大了。
理論上,4G 網絡能支持 1000Mbps,但別忘了,是全國人民在同一個群里,而你周圍的人也需要同樣的帶寬,這使得你附近的基站不堪重負,陷入癱瘓。
為了避免網絡癱瘓導致你搶不到紅包或者看群消息,你需要搬到一個周圍沒有人的基站,比如放暑假了全校只有你還沒回家的時候。
不過運營商的日子就不好過了,因為這一秒全國上下的流量就達到了驚人的:

這相當于 2017 4 月份的全國移動數據總流量的 65.7%,同時意味著每 18 秒就能用完全國一年的流量 。
如果把 1.146Ebit 數據用 2TByte 3.5 英寸硬盤(20mm 高)裝起來,然后疊起來,有 1433.25m,相比之下,全球最高樓——迪拜的哈里發塔只有區區 828m。
當然,如果確實有需要,我相信電信運營商們肯定砸下重金為你建設全世界最大的寬帶網絡。
不過,接下來該花錢的就不是運營商——而是騰訊了。
為了處理這 1.146Ebps 的流量,騰訊需要準備 11466 萬套交換機和服務器。
目前一臺大廠 4 口萬兆交換機售價大約是 4000 元,一臺便宜帶萬兆口的服務器則大概需要 10000 元,這兩項加起來的費用是:

僅僅這兩項就相當于深圳 2014 年全年的 GDP。這里還不包括網線、電線、服務器機架、機房托管、電費、運行支出……
況且,這么多設備的存放也是個問題。一臺帶萬兆(10Gbps)口的 2U 服務器有 88.9mm 高,這樣疊起來就有:

這差不多是中國到美國的飛機航線距離啊,用來修鐵路也是夠夠的了。
好了,有了這么多設備加持,這下你終于可以愉快地進了群。
但你驚訝地發現,屏幕上除了白色,什么都沒有——這是因為你的眼睛沒辦法接收這么快的數據!
人眼的視覺暫留時間是 100-400 毫秒,而我們這個群每秒鐘就要顯示 102 萬條信息,每條消息停留的時間只有大概 0.0001 毫秒。相比之下,電影、電視都有 41 毫秒。
因此你還沒來得及看清消息,它就已經消失了,最后只留下一團白色的色塊在屏幕的正中央。